Trang thông tin tổng hợp
  • Mới nhất Xem nhiều
  • Hotline: 0790123091
Trang thông tin tổng hợp
  • Trang Chính
  • Nghỉ Mát
  • Ăn
  • Chăm Sóc
  • Công Ngệ
  • Xem Bói
  • Xe
  • Cách Sống
    • Hình Ảnh
Trang Chính Nghỉ Mát Ăn Chăm Sóc Công Ngệ Xem Bói Xe Cách Sống
  • Giảm phát là gì và tác động đến nền kinh tế
  • Hôm nay giá bao nhiêu 1 chỉ vàng trên thị trường
  • Hà tiện là gì và ảnh hưởng tiêu cực đến cuộc sống
  • Giá vàng hôm nay 1 chỉ và xu hướng đầu tư an toàn
  • Currency là gì và vai trò của nó trong kinh tế toàn cầu
  • Tìm Hiểu Tỷ Giá Rub To Vnd Trong Thương Mại Quốc Tế
Thứ 6, ngày 16 tháng 8, 2019, 8:36:21 Chiều
  1. Trang chủ
  2. Giáo Dục

Tìm hiểu về nguyên hàm và ứng dụng trong toán học

avatar
Linh Phương
23:10 08/01/2025
Trong chương trình Toán 12, nguyên hàm là một trong những phần kiến thức quan trọng. Việc nắm vững lý thuyết và các công thức liên quan đến nguyên hàm không chỉ giúp các bạn học sinh giải quyết các bài tập trong sách giáo khoa mà còn là nền tảng giúp làm tốt các đề thi THPT Quốc gia. Hãy cùng VUIHOC khám phá một cách chi tiết về nguyên hàm và các công thức hữu ích để chinh phục phần kiến thức này. Bảng Nguyên Hàm Và Công Thức Nguyên Hàm Đầy Đủ Nhất & Bài Tập

1. Lý thuyết Nguyên Hàm

Bảng Nguyên Hàm Và Công Thức Nguyên Hàm Đầy Đủ Nhất & Bài Tập

1.1. Định nghĩa Nguyên Hàm là gì?

Nguyên hàm của một hàm số thực được định nghĩa là một hàm số mà khi lấy đạo hàm sẽ bằng hàm số ban đầu. Cụ thể, cho hàm số f xác định trên K, một nguyên hàm của f trên K là một hàm F thoả mãn: \[ F’(x) = f(x) \] với \( x \in K \). Ví dụ: Với hàm số \( f(x) = \cos x \), ta có nguyên hàm: \[ F(x) = \sin x \] vì \( (\sin x)’ = \cos x \). Bảng Nguyên Hàm Và Công Thức Nguyên Hàm Đầy Đủ Nhất & Bài Tập

1.2. Tính chất của Nguyên Hàm

Nguyên hàm có một số tính chất chính như sau:
  • Tính tuyến tính:
\[ \int [f(x) + g(x)]dx = \int f(x)dx + \int g(x)dx \]
  • Tính chất của hệ số:
\[ \int kf(x)dx = k\int f(x)dx \quad (với \, k \, là \, số \, thực) \] Ví dụ: Tính nguyên hàm của hàm số \( \sin^2 x \): \[ \int \sin^2 x \, dx = \int \frac{1 - \cos 2x}{2} \, dx = \frac{1}{2}\int dx - \frac{1}{2}\int \cos 2x \, dx = \frac{x}{2} - \frac{\sin 2x}{4} + C \] Bảng Nguyên Hàm Và Công Thức Nguyên Hàm Đầy Đủ Nhất & Bài Tập

2. Tổng hợp đầy đủ các công thức Nguyên Hàm dành cho học sinh lớp 12

Bảng Nguyên Hàm Và Công Thức Nguyên Hàm Đầy Đủ Nhất & Bài Tập

2.1. Bảng công thức Nguyên Hàm cơ bản

Dưới đây là bảng tổng hợp các công thức nguyên hàm cơ bản cần nhớ trong chương trình Toán 12:
  • \( \int x^n dx = \frac{x^{n+1}}{n+1} + C, n \neq -1 \)
  • \( \int e^x dx = e^x + C \)
  • \( \int \ln x \, dx = x \ln x - x + C \)
Bảng Nguyên Hàm Và Công Thức Nguyên Hàm Đầy Đủ Nhất & Bài Tập

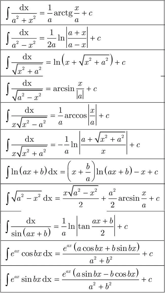
2.2. Bảng công thức Nguyên Hàm nâng cao

Ngoài các công thức cơ bản, còn có nhiều công thức nguyên hàm nâng cao mà các bạn cần biết để giải quyết các bài toán khó hơn. Bảng Nguyên Hàm Và Công Thức Nguyên Hàm Đầy Đủ Nhất & Bài Tập

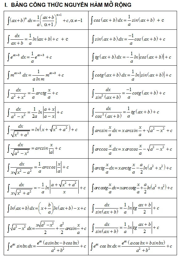
2.3. Bảng công thức Nguyên Hàm mở rộng

Các công thức nguyên hàm mở rộng hỗ trợ giải quyết bài toán khó hơn và cụ thể hơn về từng loại hàm như hàm lượng giác, hàm mũ... Bảng Nguyên Hàm Và Công Thức Nguyên Hàm Đầy Đủ Nhất & Bài Tập

3. Bảng công thức Nguyên Hàm lượng giác

Nguyên hàm của các hàm lượng giác thường gặp, bao gồm:
  • \( \int \sin x \, dx = -\cos x + C \)
  • \( \int \cos x \, dx = \sin x + C \)
Bảng công thức này rất hữu ích trong việc giải các bài tập có liên quan đến hàm lượng giác. Bảng Nguyên Hàm Và Công Thức Nguyên Hàm Đầy Đủ Nhất & Bài Tập

4. Các phương pháp Tính Nguyên Hàm nhanh nhất và bài tập từ cơ bản đến nâng cao

Để đạt được hiệu quả cao trong việc tính nguyên hàm, học sinh có thể áp dụng một số phương pháp sau: Bảng Nguyên Hàm Và Công Thức Nguyên Hàm Đầy Đủ Nhất & Bài Tập

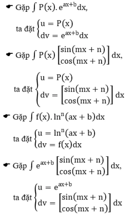
4.1. Công thức Nguyên Hàm từng phần

Phương pháp này dựa trên định lý cơ bản: \[ \int u \, dv = uv - \int v \, du \] Ví dụ: Tính nguyên hàm của \( \int x \sin x \, dx \). Bảng Nguyên Hàm Và Công Thức Nguyên Hàm Đầy Đủ Nhất & Bài Tập

4.2. Phương pháp tính Nguyên Hàm hàm số lượng giác

Một số dạng thường gặp:
  • \( I=\int \frac{dx}{\sin(x+a) \sin(x+b)} \)
  • \( K=\int \tan(x+a) \tan(x+b) \, dx \)
Bảng Nguyên Hàm Và Công Thức Nguyên Hàm Đầy Đủ Nhất & Bài Tập

4.3. Cách tính Nguyên Hàm của hàm số mũ

Cần nắm vững bảng nguyên hàm của các hàm số mũ cơ bản, ví dụ:
  • \( \int e^{kx} \, dx = \frac{1}{k}e^{kx} + C \)
Bảng Nguyên Hàm Và Công Thức Nguyên Hàm Đầy Đủ Nhất & Bài Tập

4.4. Phương pháp Nguyên hàm đặt ẩn phụ

Khi gặp các hàm khó tính, việc đặt ẩn phụ có thể làm đơn giản hóa bài toán. Ví dụ: Tìm nguyên hàm \( I=\int \frac{dx}{\sqrt{(1-x^2)^3}} \).

5. Kết thúc

Việc ôn tập và thực hành các công thức nguyên hàm là rất cần thiết để học sinh có thể thành thạo phần kiến thức này. Ngoài lý thuyết và công thức, các em cần thường xuyên làm bài tập để củng cố kiến thức và kỹ năng. Hy vọng bài viết này sẽ giúp các em có thêm tài liệu tham khảo cho việc ôn tập và làm bài tập về nguyên hàm tốt hơn. Xem thêm:
  • Công thức nguyên hàm ln và cách giải các dạng bài tập
  • Tính nguyên hàm của tanx bằng công thức cực hay
  • Phương pháp tính tích phân từng phần và ví dụ minh họa
Hãy đến với VUIHOC để được học tập và ôn luyện những kiến thức toán học bổ ích khác nhé!
0 Thích
Chia sẻ
  • Chia sẻ Facebook
  • Chia sẻ Twitter
  • Chia sẻ Zalo
  • Chia sẻ Pinterest
Đọc nhiều
20+ Meme mèo cầm dao, meme mèo phóng lợn siêu hài hước
Hướng dẫn cách điền consent form IDP cho thí sinh IELTS
Sức Hút Của Hình Ảnh Gái Xinh Không Mặc Đồ
Khám Phá Thế Giới Ảnh Gái Xinh Khoe Hàng Hiện Nay
Lịch sử hình thành và phát triển của Vinamilk từ 1976
 Bài viết liên quan
Giảm phát là gì và tác động đến nền kinh tế Giáo Dục
Giảm phát là gì và tác động đến nền kinh tế

Khái niệm và đặc điểm của hiện tượng giảm giá chung Khi nhắc đến sự biến động của nền kinh tế,...

Hôm nay giá bao nhiêu 1 chỉ vàng trên thị trường Giáo Dục
Hôm nay giá bao nhiêu 1 chỉ vàng trên thị trường

Tổng quan về giá vàng hiện nay Trong bối cảnh kinh tế không ngừng biến động, giá vàng luôn là một...

Hà tiện là gì và ảnh hưởng tiêu cực đến cuộc sống Giáo Dục
Hà tiện là gì và ảnh hưởng tiêu cực đến cuộc sống

Khái Niệm và Đặc Điểm Của Tính Cách Bủn Xỉn Trong cuộc sống hàng ngày, chúng ta thường gặp những người...

Giá vàng hôm nay 1 chỉ và xu hướng đầu tư an toàn Giáo Dục
Giá vàng hôm nay 1 chỉ và xu hướng đầu tư an toàn

Tình Hình Giá Vàng Hiện Nay Trong bối cảnh kinh tế thế giới biến động và sự tăng trưởng của nhiều...

Currency là gì và vai trò của nó trong kinh tế toàn cầu Giáo Dục
Currency là gì và vai trò của nó trong kinh tế toàn cầu

Khái niệm về tiền tệ Tiền tệ đóng vai trò quan trọng trong nền kinh tế toàn cầu. Được sử dụng...

Tìm Hiểu Tỷ Giá Rub To Vnd Trong Thương Mại Quốc Tế Giáo Dục
Tìm Hiểu Tỷ Giá Rub To Vnd Trong Thương Mại Quốc Tế

Tìm hiểu về tỷ giá giữa đồng rúp và đồng Việt Nam Trong bối cảnh toàn cầu hóa và sự phát...

Tỷ giá MB và ảnh hưởng đến giao dịch quốc tế Giáo Dục
Tỷ giá MB và ảnh hưởng đến giao dịch quốc tế

Giới thiệu về ngân hàng quân đội và vai trò của tỷ giá ngoại tệ Ngân hàng thương mại cổ phần...

Lãi suất Agribank mới nhất cập nhật tháng này Giáo Dục
Lãi suất Agribank mới nhất cập nhật tháng này

Khám Phá Thế Giới Lãi Suất Tại Ngân Hàng Nông Nghiệp Trong bối cảnh kinh tế hiện nay, việc nắm bắt...

Yield là gì và tầm quan trọng của nó trong tài chính Giáo Dục
Yield là gì và tầm quan trọng của nó trong tài chính

Khái niệm về lợi suất trong tài chính Trong thế giới tài chính, có nhiều thuật ngữ chuyên ngành có thể...

SJC hôm nay bao nhiêu một lượng và diễn biến giá vàng Giáo Dục
SJC hôm nay bao nhiêu một lượng và diễn biến giá vàng

Thị Trường Vàng Hiện Nay: Những Thông Tin Cần Biết Trong thời gian gần đây, tình hình giá vàng luôn...

Tin mới
Giảm phát là gì và tác động đến nền kinh tế

Giảm phát là gì và tác động đến nền kinh tế

Khái niệm và đặc điểm của hiện tượng giảm giá chung Khi nhắc đến sự biến động của nền kinh tế, người ta thường nghĩ đến những khái niệm như lạm phát và suy thoái. Một trong những khái niệm quan...

23:30 30/04/2025 Giáo Dục

Hôm nay giá bao nhiêu 1 chỉ vàng trên thị trường

Hôm nay giá bao nhiêu 1 chỉ vàng trên thị trường

Tổng quan về giá vàng hiện nay Trong bối cảnh kinh tế không ngừng biến động, giá vàng luôn là một chủ đề nóng hổi và thu hút sự quan tâm của đông đảo người dân. Vàng không chỉ là một...

23:15 30/04/2025 Giáo Dục

Hà tiện là gì và ảnh hưởng tiêu cực đến cuộc sống

Hà tiện là gì và ảnh hưởng tiêu cực đến cuộc sống

Khái Niệm và Đặc Điểm Của Tính Cách Bủn Xỉn Trong cuộc sống hàng ngày, chúng ta thường gặp những người có tính cách rất tiết kiệm, nhưng đôi khi sự tiết kiệm này lại trở thành một vấn đề lớn....

22:45 30/04/2025 Giáo Dục

Giá vàng hôm nay 1 chỉ và xu hướng đầu tư an toàn

Giá vàng hôm nay 1 chỉ và xu hướng đầu tư an toàn

Tình Hình Giá Vàng Hiện Nay Trong bối cảnh kinh tế thế giới biến động và sự tăng trưởng của nhiều loại tài sản, giá vàng luôn là một chỉ số quan trọng mà mọi nhà đầu tư đều quan tâm....

22:30 30/04/2025 Giáo Dục

Currency là gì và vai trò của nó trong kinh tế toàn cầu

Currency là gì và vai trò của nó trong kinh tế toàn cầu

Khái niệm về tiền tệ Tiền tệ đóng vai trò quan trọng trong nền kinh tế toàn cầu. Được sử dụng như một phương tiện trao đổi, tiền tệ không chỉ đơn thuần là những tờ giấy hay đồng xu mà...

22:15 30/04/2025 Giáo Dục

Tìm Hiểu Tỷ Giá Rub To Vnd Trong Thương Mại Quốc Tế

Tìm Hiểu Tỷ Giá Rub To Vnd Trong Thương Mại Quốc Tế

Tìm hiểu về tỷ giá giữa đồng rúp và đồng Việt Nam Trong bối cảnh toàn cầu hóa và sự phát triển nhanh chóng của thương mại quốc tế, việc hiểu biết về tỷ giá giữa các loại tiền tệ là...

22:00 30/04/2025 Giáo Dục

Tỷ giá MB và ảnh hưởng đến giao dịch quốc tế

Tỷ giá MB và ảnh hưởng đến giao dịch quốc tế

Giới thiệu về ngân hàng quân đội và vai trò của tỷ giá ngoại tệ Ngân hàng thương mại cổ phần Quân đội, một trong những ngân hàng lớn tại Việt Nam, không chỉ cung cấp các dịch vụ tài chính...

21:45 30/04/2025 Giáo Dục

Lãi suất Agribank mới nhất cập nhật tháng này

Lãi suất Agribank mới nhất cập nhật tháng này

Khám Phá Thế Giới Lãi Suất Tại Ngân Hàng Nông Nghiệp Trong bối cảnh kinh tế hiện nay, việc nắm bắt thông tin về lãi suất tại các ngân hàng là rất quan trọng. Ngân hàng Nông nghiệp và Phát triển...

21:30 30/04/2025 Giáo Dục

Yield là gì và tầm quan trọng của nó trong tài chính

Yield là gì và tầm quan trọng của nó trong tài chính

Khái niệm về lợi suất trong tài chính Trong thế giới tài chính, có nhiều thuật ngữ chuyên ngành có thể gây khó hiểu cho những người không quen thuộc. Một trong số đó chính là khái niệm về lợi suất....

21:15 30/04/2025 Giáo Dục

SJC hôm nay bao nhiêu một lượng và diễn biến giá vàng

SJC hôm nay bao nhiêu một lượng và diễn biến giá vàng

Thị Trường Vàng Hiện Nay: Những Thông Tin Cần Biết Trong thời gian gần đây, tình hình giá vàng luôn là vấn đề được nhiều người dân quan tâm. Đặc biệt, vàng SJC (Sài Gòn Jewelry Company) là một trong...

21:00 30/04/2025 Giáo Dục

Tiền Đạo Chủ Lực Haaland Thúc Giục Man City Tìm Lại Tinh Thần Chiến Đấu

  • Điều khoản sử dụng
  • Chính sách bảo mật
  • Cookies
  • RSS
  • Giới thiệu
  • Điều khoản sử dụng
  • Chính sách bảo mật
  • RSS

© 2026 - Galileo.edu.vn

Trang thông tin tổng hợp
  • Trang chủ
  • Trang Chính
  • Nghỉ Mát
  • Ăn
  • Chăm Sóc
  • Công Ngệ
  • Xem Bói
  • Xe
  • Cách Sống
    • Hình Ảnh
Đăng ký / Đăng nhập
Quên mật khẩu?
Chưa có tài khoản? Đăng ký